想了解設備資料?報價?售后?請留言,速回電
廠家直銷,留言立享本月優惠價免費提供環保政策、辦廠手續、投資預算等資料
作用于慣性圓錐破碎機機體上載荷,是由動錐和激振器產生的慣性力和慣性力矩,它是一種周期性的動載荷。因此,不可避免地引起慣性圓錐破碎機的振動情況。慣性圓錐破碎機的振動形式為水平圓振動、垂直振動和擺振,以及動錐料層滾壓時,伴隨強烈的沖擊和振動所引起的附加振動。在這些振動中,水平圓振動是主振動,其他方向的振動相對來說很小,故下面分析水平圓振動的隔振情況。
.jpg)
慣性圓錐破碎機機體坐落在隔振系統上,設隔振系統的剪切彈性剛度為K,慣性破碎機和機中的物料總質量為m,破碎機在水平面內任意方向受到的慣性力為Fc,則具有水平圓振動的慣性圓錐破碎機,可簡化為下圖所示的彈簧質量系統。
.png)
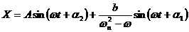
在忽略阻尼的情況下,破碎機在x方向的振動為:
![]()
一部分是頻率為固有頻率wn的自振動,AA是自由振動振幅,a2是破碎機運動初相位。第二部分是頻率為慣性力頻率w的受迫振動。由于實際振動系統中總是有阻尼存在的,因此隨著時間的增長,自由振動部分總會衰減下去,以后破碎機基本上按第二部分受迫振動的規律進行振動。
當wn=w時,則振幅為無窮大,這種現象稱為共振。在選擇隔振系統時,一定要使它的固有頻率wn遠離慣性力頻率w,以避免共振的發生。由于橡膠彈簧的剪切彈性剛度較小,可承受多方向載荷,且其阻尼大,對吸收突然沖擊和高頻振動及減小噪聲有良好的效果,因此,采用橡膠彈簧作為慣性破碎機隔振元件很理想。
下一篇:LPM型立式粉碎機的工作原理
想了解設備資料?報價?售后?請留言,速回電
廠家直銷,留言立享本月優惠價免費提供環保政策、辦廠手續、投資預算等資料
3分鐘前 高先生:時產200噸制砂機報個價,處理鵝卵石
8分鐘前 李先生:移動式破碎機怎么解決粉塵問題?
13分鐘前 徐女士:需要制砂機,南寧能看制砂現場嗎?
16分鐘前 程先生:破碎生產線出個方案及報價,有什么售后服務?
22分鐘前 鄭女士:想了解時產500噸錘破,加工石灰石
31分鐘前 吳先生:成套石頭破碎設備有嗎?給個詳細產品資料
36分鐘前 羅先生:每小時100噸左右的鄂破和反擊破,推薦下型號
42分鐘前 梁先生:膨潤土磨到200目,用什么磨粉設備?
提交留言我們會第一時間回復您!
復合同步圓錐破碎機是在慣性圓錐破碎機的基礎上研制成功的一種新型破碎機械,復合同步圓錐破碎機主要由電機、激振器、帶給料口的上連接板、帶排料口的下連接板、內破碎錐體、外破碎錐體和隔振彈簧等組成
2013-05-23由于慣性破碎機有著非常好的結構特點和動力學特性,因此在處理不同性質的礦石中可以滿足不同的工藝要求。對其非線性振動狀況進行分析,可深層次地揭示它的優良特性,以便于更好地指導生產。
2012-12-05慣性圓錐破碎機的結構參數包括偏心靜力矩、排料間隙、激振器轉速、破碎腔的形狀等。通過調節破碎機的結構參數,可以改變破碎機的性能指標,如產量、功耗和產品粒度組成等,以滿足不同性質物料的不同要求。
2012-12-03圓錐破碎機破碎礦石時,常發生的故障就是“飛車”,這使得正常作業被打斷,并造成許多人力、物理的損失。專家對“飛車”現象進行的動力學分析,為如何預防和解決“飛車”問題提供了有力的理論依據。
2012-11-19為了優化圓錐破碎機的腔型結構,我們在研究過程中,需要對于整機的生產率以及產品的粒度分布的模型都一起被考慮。根據以上所有的結論,在多目標優化模型中應該有三個目標函數。
2012-09-29一個理想的腔型,高的生產能力以及好的產品粒形是現代圓錐破碎機所應具備的主要特征。在進行腔型結構優化設計時,能夠影響圓錐破碎機工作性能的主要參數都應該列入考慮的范圍之內。
2012-09-28